Thông báo đề nghị hộ gia đình, cá nhân đã được phê duyệt nhu cầu chuyển mục đích sử dụng đất năm 2023 thực hiện thủ tục chuyển mục đích sử dụng đất

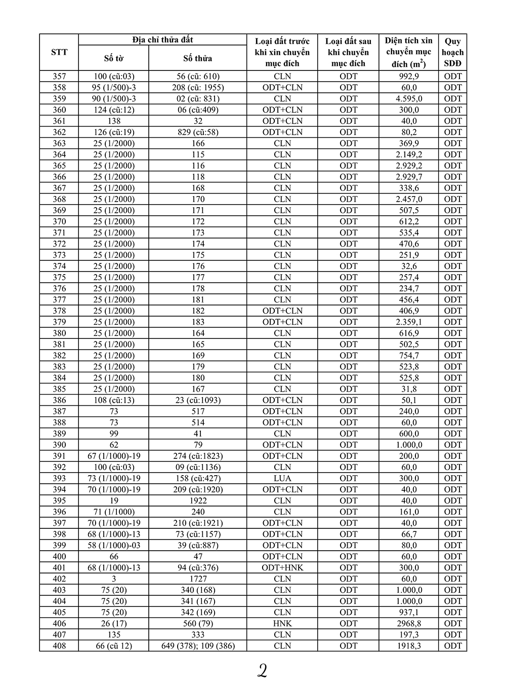
Hộ gia đình, cá nhân sử dụng đất có tên (số tờ, số thửa đất) trong “Danh sách các hộ gia đình, cá nhân đã đăng ký trong Kế hoạch sử dụng đất năm 2023 của thị xã Phú Mỹ” đã được phê duyệt nhu cầu chuyển mục đích sử dụng đất trong kế hoạch sử dụng đất năm 2023 của thị xã Phú Mỹ đính kèm Thông báo này khẩn trương đến Bộ phận tiếp nhận và trả kết quả thị xã Phú Mỹ để thực hiện các thủ tục chuyển mục đích sử dụng đất theo quy định.




Loading

5/5 - (4 đánh giá)
53 lượt xem